zkSNARK 에 사용되는 R1CS 에 대해 이해한대로 정리해보았다.
- what is zk-SNARK?
zkSNARK 는 영지식증명 중에서도 비대화형으로 zcash 프로토콜에서 알고리즘으로 개발되어 사용되고 있다.
zk 가 나오게 된 배경, optimistic-rollup vs zk-rollup, zkVM vs zkEVM, zk-SNARK vs zk-STARK 등의 개념은 따로 정리해야겠다.
- what is R1CS?
영지식증명에서는 증명에 사용되는 복잡한 computational statements 를 산술 회로로 모델링하여 계산하는 과정이 필요하다.
따라서, 연산 과정을 최대한 단순화하여 모델링하기에 용이한 시스템으로 이해했다.
뒤에서 설명할 예시는 간단하지만 복잡한 시스템을 R1CS 로 모델링하기 위해서는
보통 circuit 으로 회로를 디자인하고 연산, 증명 및 결과 zkey 를 생성한다.
iden3 에서 제공하는 SNARKjs 라이브러리가 있는데
이걸 사용하면 키 생성 및 연산 결과가 진짜 너무 간단하게 도출되어 생각보다 허무했다.
Rank 1 Constraint System
용어에 대해 살펴보자면, rank 1 행렬은 선형 독립 연산으로
행렬을 소거했을 때 만들어지는 피봇 행렬이 최대 1 인 행렬이며,
constraint 는 회로 연산을 표현한 방정식이다.
R1CS 에서는 3가지 연산 (덧셈, 곱셈, 뺄셈) 만 다루는데,
나눗셈, 모듈러 연산 같은 경우에는 덧셈, 곱셈으로 다시 나타낼 수 있기 때문이다.
- example of R1CS
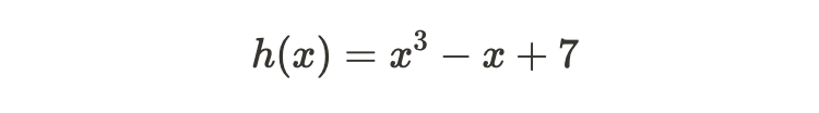
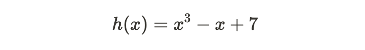
다음과 같은 임의의 해시 함수가 있다고 할 때,
증명자는 검증자에게 해당 해시 함수를 알고 있다는 사실을 증명하기 위해 4를 대입한 값인 72 를 output 으로 제출할 수 있다.

이때, 검증자는 증명자가 4 라는 값을 사용하여 연산했다는 사실을 모르며,
72 라는 output 과 연산에 사용된 중간값만 가지고도 증명자가 h(x) 에 대한 연산을 했다는 사실을 검증할 수 있다.
계산 과정을 말로 풀어보자면
h(x) 함수의 변수 x 에 대한 차수를 2차로 내리기 위해
먼저 곱셈 연산으로 이루어진 식 x * x 를 변수 sym1 으로 치환한다.
그리고 2차로 내려진 식을 다시 1차로 내리기 위해 x * sym1 을 y 로 치환한다.
그리고 치환한 y - x 를 sym2 로 치환하면 output 에 대한 연산은 치환한 변수를 사용하여
output = sym2 + 7 로 나타낼 수 있다.
위 식을 곱셈 연산 (c=a*b) 의 형태로 나타낼 수 있는데 (1, x, output, sym1, y, sym2 순으로)
먼저, sym1 = x * x 같은 경우에는 a = [0, 1, 0, 0, 0, 0] b = [0, 1, 0, 0, 0, 0] c=[0, 0, 0, 1, 0 , 0]
y = x * sym1 은 a = [0, 1, 0, 0, 0, 0] b = [0, 0, 0, 1, 0 , 0] c = [0, 0, 0, 0, 1, 0]
sym2 = y - x 는 (y-x)*1 로 나타낼 수 있기 때문에 a = [0, -1, 0, 0, 1, 0] b =[1, 0, 0, 0, 0, 0] c = [0, 0, 0, 0, 0, 1]
output = sym2 + 7 도 (sym2 + 7)* 1로 나타낼 수 있기 때문에 a = [7, 0, 0, 0, 0, 1] b = [1, 0, 0, 0, 0, 0] c = [0, 0, 1, 0, 0, 0]
그르면 이제 1차로 내린 행렬 a 들에 대한 행렬 A, b 들에 대한 행렬 B, c 들에 대한 행렬 C 를 만들 수 있다.
그리고 c = a*b 즉, a*b-c = 0 이며 이를 A, B, C 행렬에 대한 스칼라곱 연산으로 변환할 수 있다.
아래 수식에서 S 는 곱셈 연산으로 나타내기 위해 지정한 1, x, output, sym1, y, sym2 에 대한 basis 행렬이다.
행렬 S 의 output 가 7 일 경우, 아래 식을 만족하는 행렬 S 를 계산함으로써 증명이 맞는지 검증할 수 있다.

- circuit of zk-SNARK
위 연산을 Circom 의 circuit 으로 회로 게이트 연산을 작성 및 모듈화할 수 있다.
// circuit.circom
template BadHash() {
signal private input x;
signal x_squared;
siganl x_cubed;
signal output out;
x_squared <== x * x;
x_cubed <== x_squared * xl
out <== x_cubed - x * 7;
}
component main = BadHash();
증명자가 계산하는데 사용한 중간 값에 대한 변수는 회로 연산에서 신호 signal 로 나타낼 수 있다. (circom 에서 다루는 변수 타입인 듯)
증명자가 사용한 값 x 인풋값은 검증자에게 알리면 안되므로 private 으로 정의한다.
circom 에서 다루는 연산 기호에 대해 간단히 살펴보자면,
<+ 는 signal 변수에 대한 초기값을 할당하는 역할을 한다.
js 의 = 대입 연산자랑 비슷한 역할을 하나? 생각했었는데
값 할당 외에도 추가적인 constraints 를 설정할 수 있는 역할이 있다고 한다.
그때 이 연산자가 어떻게 작동하는지는 잘 모르겠다. 그리고 초기값으로 설정된 해당 신호의 R1CS 는 a = 3 이 아니라 a - 3 = 0 이다.
a <+ 3;
그리고 <== 연산 같은 경우는 할당은 할당인데 조건부 할당이 가능한 연산자이다.
x_squared <== x * x;
GPT 에 따르면, , a <== (b < c ? 1 : 0)은 b < c라는 조건이 참이면 a에 1을, 거짓이면 a에 0을 할당 한다고 한다.
- 적고보니 드는 의문
1. 행렬 S 에서 output 값으로 인해 x 값이 도출되는 것은 증명자만 알고 있는 사실인가?
이것이 로컬(레이어2)에서 계산되어 레이어 1으로 올라가는건가?
2. SNARK js 에서 증명 연산 결과와 함께 생성되는 증명키, 확인키에는 어떤 값으로 계산되는 것인지 궁금
'암호학' 카테고리의 다른 글
| 22.08.10 bcrypt 와 sha (0) | 2022.08.11 |
|---|---|
| 22.07.18 배타적 논리합과 합동식 (0) | 2022.07.18 |
| 22.07.16 암호화와 인코딩 (0) | 2022.07.16 |
| 22.03.07 [지갑] 멀티시그 월렛 (0) | 2022.03.07 |
| 22.02.02 개인식별번호 CI, DI (0) | 2022.02.23 |